17岁少女推翻40年前数学猜想 即将攻读博士学位

17岁少女只是做了一份家庭作业,40年前数学猜想便被推翻。

17岁少女推翻40年前数学猜想 即将攻读博士学位

Mizohata-Takeuchi猜想,诞生于上世纪80年代,是连接调和分析、偏微分方程和几何分析的核心桥梁。

它提出只要每条直线方向的权重积累都不太大,傅里叶传播也不会非常集中。一直以来人们都认为这一猜想是正确的,它也被视为通向解决傅里叶限制猜想的希望之一。

如果它被推翻,几十年来关于傅里叶限制、PDE良性等核心问题的思考,也要重新更改思路。比如Stein猜想也将不成立。

才17岁的汉娜·凯罗,在今年扔下了这枚“重磅炸弹”。

17岁少女推翻40年前数学猜想 即将攻读博士学位

原本她只是完成导师安排的家庭作业,论证Mizohata-Takeuchi猜想的更简单形式。没想到,她却找到了Mizohata-Takeuchi猜想的反例。

这结果有多不可思议呢?她也是花了很长一段时间,才成功说服导师张瑞祥,自己提出的反例是对的。

张瑞祥,本科毕业于北大数院,博士毕业于普林斯顿。现在是UC伯克利数学系助理教授,是现代调和分析、偏微分方程、组合几何领域的重要学者。2023年获得有“菲尔兹风向标”之称的SASTRA拉马努金奖。

17岁少女推翻40年前数学猜想 即将攻读博士学位

值得一提的是,今年2月陶哲轩还预告了这一重磅成果。

17岁少女推翻40年前数学猜想 即将攻读博士学位

找到反例推翻猜想

首先简单了解下傅里叶分析,它是一种重要的数学工具,核心思想是把复杂的函数分解成一组正弦波或余弦波组合。

它能把看起来复杂的对象(如信号、图像、函数)变成频率的叠加,常用领域包括信号处理、音频分析、金融等。

17岁少女推翻40年前数学猜想 即将攻读博士学位

Mizohata–Takeuchi猜想正是出现在傅里叶分析和偏微分方程(PDE)领域,最初源自对某类一阶扰动的薛定谔方程的良定性(well-posedness)问题的研究,后来成为傅里叶限制性理论中的一个重要问题。

它源于上世纪70-80年代对偏微分方程解的良定性问题的研究,特别是对一阶扰动的薛定谔方程的行为分析。

在这一过程中,人们发现某些傅里叶变化相关的加权L2不等式与解的存在性和唯一性密切相关。

更通俗一点类比,假设你在一个房间里说话,声音从嘴巴里发出,向各个方向传播。现在数学家们关心一个问题:

如果你在某些方向上挂了吸音板(相当于给这些方向加上了一个“权重”),那你能不能通过“这些方向上的吸音效果”,来估计你说话的总音量?

17岁少女推翻40年前数学猜想 即将攻读博士学位

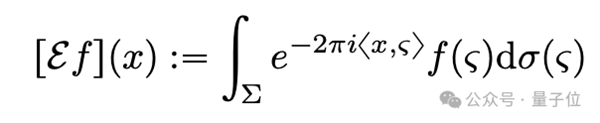
这个“总音量”用傅里叶延拓算子(extension operator)表示,“方向上的吸引效果”是X-ray transform,也就是沿每条直线把权重w(x)加起来。

如果你知道w(x)沿所有直线方向的积分都不大,那么这个傅里叶扩展Ef(x)在整个空间的加权L2也不会太大。

具体形式如下:

对于任意C2的曲面

17岁少女推翻40年前数学猜想 即将攻读博士学位

,设扩展算子为:

17岁少女推翻40年前数学猜想 即将攻读博士学位

猜想认为存在如下加权不等式成立:

17岁少女推翻40年前数学猜想 即将攻读博士学位

其中E(f)是f的傅里叶延拓算子,Xw是w的X-Ray transform。

汉娜正是对此提出了一个反例——

对于任意不在某个平面上的C2曲面Σ,可以构造:

一个

17岁少女推翻40年前数学猜想 即将攻读博士学位

,非负权重函数

17岁少女推翻40年前数学猜想 即将攻读博士学位

使得:

17岁少女推翻40年前数学猜想 即将攻读博士学位

这表明对于某些特定的f和w,积分的下界比猜想中的上界多了一个log R的因子,这意味着Mizohata–Takeuchi猜想整体不成立。

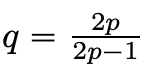
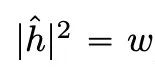
具体来看,作者首先证明了关于正测度的X-Ray transform变换的Lp估计,对于满足

17岁少女推翻40年前数学猜想 即将攻读博士学位

的函数h,证明了:

17岁少女推翻40年前数学猜想 即将攻读博士学位

其中p∈[1,∞]且

17岁少女推翻40年前数学猜想 即将攻读博士学位

利用projection-slice定理,将X-Ray transform与傅里叶变换联系起来;通过Minkowski不等式和Hausdorff-Young不等式,推导出上述估计。当p=∞时,证明了估计的最优性。

然后构建反例。作者通过选择超曲面Σ上的一组R-1点

17岁少女推翻40年前数学猜想 即将攻读博士学位

,其中N~log R,并构造一个特殊的格点集Q,使得这些点的平移和组合能够产生足够多的重叠,从而导致积分下界显著增加。然后作者又构建了一个几何引理,证明存在一组点

17岁少女推翻40年前数学猜想 即将攻读博士学位

,使得这组点的投影在任何方向上都不会有过多重叠。这个引理确保了反例构造的有效性。

此外,论文还提出了一种局部版本Mizohata–Takeuchi猜想。

17岁少女推翻40年前数学猜想 即将攻读博士学位

即引入Rε的微弱损失是否仍可能使不等式成立。

17岁数学少女,即将开始读博

最后,来看一下带来如此突破的17岁女孩汉娜·凯罗。

她出生在巴哈马群岛,“打记事起就对数学很感兴趣”。

她正式开始深入高等数学领域,是搬到美国后。还是高中生的她参加了UC伯克利的数学夏令营。在此期间,她给教授们写信表示自己读过哪些领域的书,可不可以上他们的课。

许多人都答应了,其中就包括张瑞祥。

她能推翻这一猜想,也是源于张瑞祥的一次家庭作业——给几个猜想让她选一个开始论证,但没想到汉娜直接“陷”了进去,她唯一能想到的就是一种新方法,并且逐渐意识到只要自己正确应用这些信息,她便能反驳这一猜想。

最终结果我们已经看到了,她真的成功了。

如今,这位天才少女已经在国际学术会议上登台演讲,她表示自己不紧张,而且乐在其中。

毕竟她日常也经常给别人讲解问题,包括比自己大的学生。

17岁少女推翻40年前数学猜想 即将攻读博士学位

此外值得一提的是,汉娜的导师张瑞祥,也有着相似的传奇经历。

他中学时期就读于人大附中,2006年至2008年,连续三次入选中国数学奥林匹克国家集训队。

2008年,他代表中国参加第49届国际数学奥林匹克竞赛(IMO),并荣获金牌。

那一年,他的队友、同桌是韦东奕。

17岁少女推翻40年前数学猜想 即将攻读博士学位
△前排右一:张瑞祥,后排右二:韦东奕

同年,张瑞祥考入北京大学数学院。

本科期间,在大神无数的北大数院张瑞祥也是妥妥的“拿奖王”,不仅获得北京大学五四奖章、国家奖学金、廖凯原奖学金、三好学生等多项荣誉。

同时斩获第三届全国大学生数学竞赛(数学类)全国一等奖,第二届丘成桐大学生团体金奖,以及个人代数银奖、几何银奖、分析银奖,个人全能金奖等。

2017年,张瑞祥获得普林斯顿大学博士学位。

毕业后,他先后在普林斯顿高等研究院(IAS)和威斯康星大学麦迪逊分校开展博士后研究。2021年,他正式加入加州大学伯克利分校数学系,成为助理教授。

张瑞祥的主要研究领域是调和分析,尤其在以下两个方向作出贡献:

-卡尔森关于薛定谔方程解的逐点收敛问题;

-索格波动方程局部平滑猜想的二维情况。

2019年,他与合作者在《数学年鉴》发表论文,提出了一种全新技术,针对性地从多个维度解决了卡尔森提出的问题。

17岁少女推翻40年前数学猜想 即将攻读博士学位

2023年,张瑞祥荣获SASTRA拉马努金奖——该奖被称为“菲尔兹奖的风向标”,授予全球32岁以下在数论或相关领域做出杰出贡献的年轻数学家。

接下来,汉娜将赴马里兰大学攻读博士学位(还希望组建自己的团队),张瑞祥将继续担任她的导师。

责任编辑:随心

文章内容举报

– THE END –

0
分享海报

评论0

请先
欢迎您光临安然网,如有侵权,请提供相关版权证明发给本站,审核属实后将会立即删除。MAIL:zgs5516@163.com
显示验证码
没有账号?注册  忘记密码?

社交账号快速登录

'); })();